English 中文 旧网站

我系在洋中脊深部热液循环研究中取得新进展

文章来源: 发布时间:2021-07-29 11:55 作者:李哲萱 浏览量:8059

近期,yl6776永利集团6776永利集团岩石学与地幔地球化学学科团队成员张超教授联合汉诺威大学、基尔大学、明斯特大学等单位的合作者,对阿曼蛇绿岩中邻近Moho界面的下地壳层状辉长岩中的多期脉体进行了详细了岩石学和Sr-O同位素研究,揭示了深部热液循环系统在1000–250 °C温度存在,从极高温到低温范围内的水岩反应可能对快速扩张洋中脊下地壳的增生和冷却起到关键作用。这一研究成果已在线发表于地学重要期刊Journal of Geophysical Research – Solid Earth

1. 快速扩张洋中脊增生的两种端元模型

前人对于快速扩张洋中脊的增生模式存在两种端元模型的争议,即辉长岩冰山模型(gabbro glacier model)和席状深成侵入体模型(sheeted sills model)。前一种模型假设下地壳的辉长岩是底部熔体透镜体持续结晶下沉的堆晶,下地壳冷却释放的热量大部分从顶部以热传导的方式带出;后一种模型假设下地壳是由无数小规模的深成侵入体颠覆形成,它们结晶冷却释放的热量需要在深部以更加快速有效的方式被带出。这两种模型的差异,不仅关系到洋壳增生的理论模型,也从深层次上制约了洋壳下地壳的某些地球化学特征,因此关系到从洋壳新生到俯冲消减过程中的物质循环。

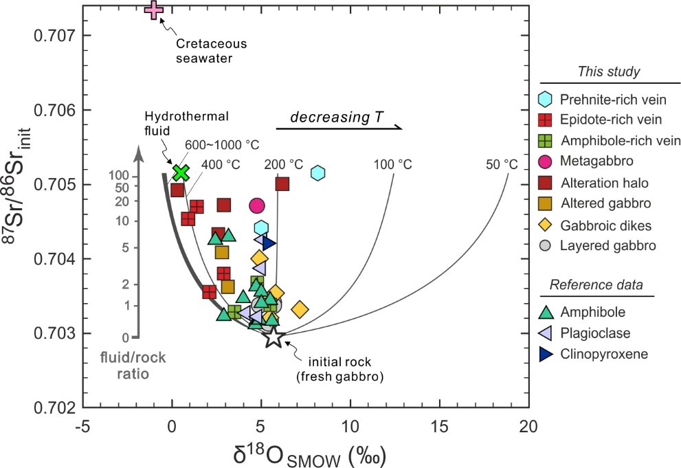
2. 矿物温度计揭示的与脉体形成相关的水岩反应温度

解决上述争议的关键在于提供下地壳增生模式的可靠证据。针对这个科学问题,我们在阿曼蛇绿岩Wadi Tayin地块西部邻近壳-幔边界处的层状辉长岩开展了详细的野外调查,发现了近于垂向切穿层状辉长岩的多期脉体,包括辉长岩脉、富角闪石脉、富绿帘石脉、富葡萄石脉,以及相关的蚀变晕等。岩石学研究表明以水为主的热液参与了从1000250 °C温度范围内的流体-岩石相互作用。在极高温条件下,流体触发了已经固结的辉长岩发生了低程度部分熔融。高Cl角闪石的形成表明在某些温度条件下,高盐度卤水也参与了深部流体的循环。全岩Sr-O同位素和长石原位Sr同位素也证明,参与水岩反应的流体是演化自海水的热液流体,而不是岩浆流体。

3. 辉长岩和相关脉体的Sr-O同位素

此项研究表明,快速扩张洋中脊的地壳深部存在深达Moho界面附近的流体循环系统,可以非常有效的将下地壳结晶冷却释放的热量带出,因此支持席状深成侵入体的增生模型。此外,深部热液流体循环的广泛存在,可能对下地壳的地球化学特征(尤其是活动性元素的丰度及其同位素)产生深刻的影响,从而影响这些元素通过洋壳俯冲方式的深部循环过程。

文章标题:Multi-stage Hydrothermal Veins in Layered Gabbro of the Oman Ophiolite: Implications for Focussed Fluid Circulation in the Lower Oceanic Crust

原文链接:https://agupubs.onlinelibrary.wiley.com/doi/abs/10.1029/2021JB022349

第一作者兼通讯:张超(yl6776永利集团6776永利集团)

Copyright©中国·yl6776永利集团(有限公司)官方网站-Official Website 版权所有
Baidu
sogou